李云龙
提问
李云龙律师文集
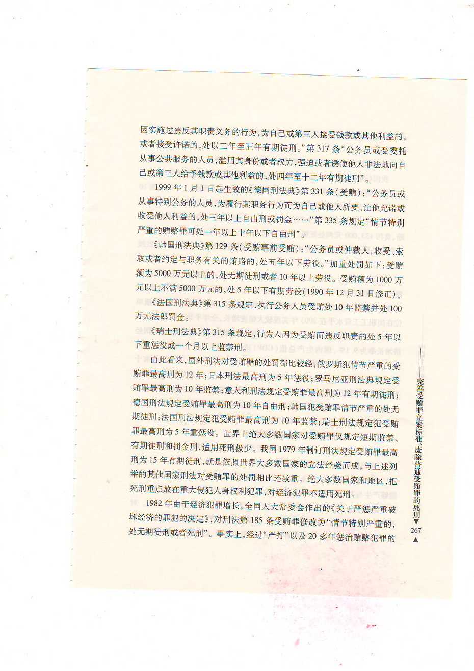
关于完善受贿罪立案标准、废除普通受贿罪的死刑
大律师网
2024-07-19
导读:
相关文集
李云龙著作《死刑论》荣获1995年年度江西省社会科学院优秀科研成果壹等奖
李云龙著作《死刑论》1996年月获江西省第七次社会科学院优秀成果壹等奖
第二十四本李云龙著《青少年法律手册》,1988年由明天出版社出版,作为中学生法制教材使用
第二十三本《江西省青少年犯罪与综合治理》主编阙贵善,副主编李云龙,1997 年由中国人民公安大学出版社出版28万字
第二十二本李云龙中国著名律师专辑,法律出版社出版45万字
第二十一本李云龙中国名律师李云龙专辑,2012年4月由法 律出版社出版28万字
第二十本李云龙中国名律师李云龙专辑,2002年由法律出版社出版专辑2002年版23万字
第十九本第九届赣台法学文集李云龙、叶国兵主编,副主编 李永然、吴威志(台湾)《赣台法学论坛文集》由法律出版社出版,字数42万字
第十八本第八届赣台法学文集 李云龙、叶国兵主编,副主编李永然、吴威志(台湾)《第八届赣台法学文集》(2017 年犯罪学年 会)字数54万字
第十七本第七届赣台法学文集李云龙、叶国兵主编,李永然、 吴威志(台湾)《第七届赣台法学文集》由法律出版社出版
第十六本第六届论坛文集李云龙、李永然(台湾)主编第六届《赣台法学论坛文集》2014年犯罪学年会
第十五本第五届论坛文集李云龙、李永然(台湾)主编第五届《赣台法学论坛文集》2013年会,法律出版社出版字数47万字
第十四本第三届论坛文集李云龙、李永然主编《赣台法学论坛文集》由国家法律出版社出版
第十三本第二届论坛文集江西省犯罪学研究会011年8月26日,在抚州市召开的《赣台法学论坛》
第十二本李云龙主编第一届《赣台法学论坛文集》又名《海峡 两岸法学论坛文集》字数32万字
第十一本2001年7月23日《香港镜报》专题采访李云龙谈死刑问题
第十本《中国新闻周刊》对李云龙教授研究死刑为死刑犯辩护报道
第十本《中国新闻周刊》对李云龙教授研究死刑为死刑犯辩护
第九本李云龙研究死刑论著报道
第八本美国《基督教科学箴言报》